Research       Publications

Propagation of temporal mode multiplexed optical fields in fibers: influence of dispersion

Picture3
Opt. Express, 30, 447 (2022)

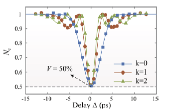
The capacity and performance of communication system can be increased and improved by encoding information on the multiple degree of freedom of optical fields, such as wavelength, polarization and spatial structure. Temporal modes, which provide a convenient orthogonal basis for studying light pulses, have only come into play recently. However, the broadband nature due to ultrashort pulses makes it sensitive to dispersion of transmission media. In this work, we examine the effect of medium dispersion on different orders of temporal modes. We characterize how the spectral profiles of temporal modes change with the fiber induced dispersion with a fourth-order interference technique when the order number and bandwidth of temporal modes are varied. Moreover, we discuss how to recover the spectrally distorted temporal mode by measuring and compensating the transmission induced dispersion. Our investigation paves the way for further investigating the distribution of temporally multiplexed quantum states in fiber network.

This paper is selected as Editors' Pick.

Read more at Optics Express:
https://doi.org/10.1364/OE.448013


03 Jan 2022

Atomic, Molecular, and Optical Physics