Research       Publications

Magic angle for barrier-controlled double quantum dots

20180109_sunny

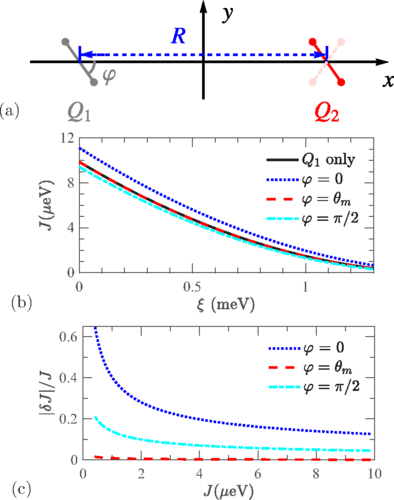
We show that the exchange interaction of a singlet-triplet spin qubit confined in double quantum dots, when being controlled by the barrier method, is insensitive to a charged impurity lying along certain directions away from the center of the double-dot system. These directions differ from the polar axis of the double dots by the magic angle, equaling arccos(1/√3)≈54.7∘, a value previously found in atomic physics and nuclear magnetic resonance. This phenomenon can be understood from an expansion of the additional Coulomb interaction created by the impurity, but also relies on the fact that the exchange interaction solely depends on the tunnel coupling in the barrier-control scheme. Our results suggest that for a scaled-up qubit array, when all pairs of double dots rotate their respective polar axes from the same reference line by the magic angle, crosstalk between qubits can be eliminated, allowing clean single-qubit operations. While our model is a rather simplified version of actual experiments, our results suggest that it is possible to minimize unwanted couplings by judiciously designing the layout of the qubits.

Read more at Physical Review A - Atomic, Molecular, and Optical Physics:
https://journals.aps.org/pra/abstract/10.1103/PhysRevA.97.012304


09 Jan 2018

Quantum Materials