Research       Publications

The impact of baryonic potentials on the gravothermal evolution of self-interacting dark matter haloes

pic
Monthly Notices of the Royal Astronomical Society, 526, 1 (2023), p.758–770

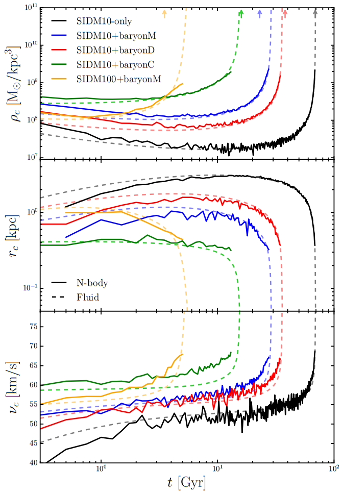
The presence of a central baryonic potential can have a significant impact on the gravothermal evolution of self-interacting dark matter (SIDM) haloes. We extend a semi-analytical fluid model to incorporate the influence of a static baryonic potential and calibrate it using controlled N-body simulations. We construct benchmark scenarios with varying baryon concentrations and different SIDM models, including constant and velocity-dependent self-interacting cross-sections. The presence of the baryonic potential induces changes in SIDM halo properties, including central density, core size, and velocity dispersion, and it accelerates the halo’s evolution in both expansion and collapse phases. Furthermore, we observe a quasi-universality in the gravothermal evolution of SIDM haloes with the baryonic potential, resembling a previously known feature in the absence of the baryons. By appropriately rescaling the physical quantities that characterize the SIDM haloes, the evolution of all our benchmark cases exhibits remarkable similarity. Our findings offer a framework for testing SIDM predictions using observations of galactic systems where baryons play a significant dynamical role.

Read more at Monthly Notices of the Royal Astronomical Society:
https://doi.org/10.1093/mnras/stad2765


12 Sep 2023