Research       Publications

Charge noise suppression in capacitively coupled singlet-triplet spin qubits under magnetic field

Publication2
Physical Review B, 103, L161409 (2021)

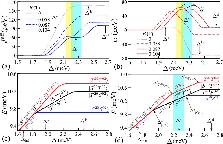
Charge noises are the main obstacle to realize scalable quantum computation, and working around sweet spots is effective to reduce charge noise. However, existence of sweet spots for two singlet-triplet qubits is unclear. We demonstrate, through full configuration interaction calculations, that a range of nearly sweet spots appear in the coupled singlet-triplet qubits under a large enough magnetic field. We further demonstrate that ramping to and from such nearly sweet spots using pulses from shortcut to adiabaticity offers maximal protection of the qubit against decoherence. Our results should facilitate realization of high-fidelity two-qubit gates in coupled singlet-triplet qubit systems.

Read more at Physical Review B:
https://doi.org/10.1103/PhysRevB.103.L161409


27 Apr 2021

Theoretical and Computational Physics
Quantum Materials